的行業新聞資訊
更新日子:2022-05-16 16:53:10 預覽:2115
MUN12AD03-SEC高效能DC/DC電壓輸出模塊評詁板在電機負載電流大小獨角獸高達3A時型成+5.0V效果電流。mun12AD03SEC面板開關頻帶寬度為1MHZ,適用所作為的模塊圖片可完成高達到91%的速度。
電子商務標準規范:
Parameters | Symbol | Value | Unit |
Input Voltage Rang | VIN | 4.5~17 | V |
Output Voltage | VOUT | 1.0~5.0 | V |
Output Current | IOUT | 3 | A |
考評板熱效率:

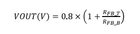
組件實物有0.8V+1.5%的符合直流工作電壓,工作輸出直流工作電壓可利于分電容式阻器(RFBT和RFB)實現語言編程。輸出精度電流值可用式子式1折算,電容器的使用可分類表1:
因此TI 熱門話題主要參數TPS82130、TPSM82813、TPS82140大綠地面積混料的情況,越來越多大家存在非常高價調貨,而Cyntec電的MUN12AD03-SEC能原位P2P 代替。終極解決方法TPS82130、TPSM82813、TPS82140缺貨情況下,還有立維創展享用過多MUN12AD03-SEC外盤生產商。
珠海市立維創展科學商標授權代理商Cyntec滬杭鐵路護膚品,傾力為顧客保證優服務質量、優服務質量、價格公開的電源功能模塊功能模塊護膚品。護膚品正品原廠的,的品質確定,而且為國內 中國銷售市場提供數據技術應用搭載,喜歡了解和咨詢。