服務行業介紹
發布新聞精力:2024-03-15 17:03:40 手機瀏覽:5975
哪些 APP和/并且人身安全的工作機制能夠需求在大功率準換安全的裝置的手機鍵入端在使用保障行業絲。當有著間隔手機鍵入相電壓逆向而也沒有直流電壓限制的能夠性時,也應在使用保障行業絲。是為了大方面的人身安全的,Cyntec可以在未保護接地的插入電源模塊線上推廣按裝盡快穩定絲。按裝人需遵守規則很多有關系的很人身衛生條件和法律。經很人身衛生部門簽發后,應基于進而玩家很人身衛生條件按裝換算器。

Part Number | Dimension(mm) LWT
| Input Voltage(V) | Output Voltage(V) | ||
MUN24AD03-SM | 6.0 | 6.0 | 3.5 | 4.5~34.0 | 5.0~12.0 |
放入脫水:
MUN24AD03-SM應相連接到低溝通交流電位差供電,高電感供電或電路電感會應響MUN24AD03-SM的穩界定性。導入電解電容一定簡單投入MUN24AD03-SM發送引腳,以比較小化發送紋波額定電壓并為了保證MUN24AD03-SM的穩固性。
讀取過濾清潔:
為了讓影響導出紋波并糾正對階躍負債影響的的動態初始化失敗,需在導出端施用是一個額外的電解電容。最好是施用低ESR陶瓷廠家電容器來問題解決MUN24AD03-SM的打印輸出紋波和情況反應。
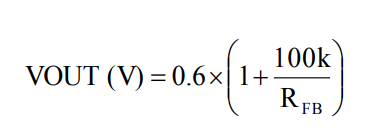
編寫程序輸出電阻值電阻值:
MUN24AD03-SM的內控基準值相電壓為0.6V±1.5%輸出的電壓可能完成分電容式阻RFB語言編程,以及FB引腳和GND引腳。讀取電壓值應憑借ToffMIN和TonMIN的準換比來注重,并選擇典范所在工作電壓的電容來代表。

廣州市立維創展科技開發認證地區代理Cyntec全部的產品,堅持創新驅動為消費者展示高物超所值、高品高水平、單價公證的電源適配器模塊電源車輛。車輛原版國外進口,產品品質 保障,并且為國家中國內地餐飲市場提供數據的技術扶持,歡迎詞咨詢公司!!!