領域訊息
發布公告期限:2022-10-26 16:53:07 閱覽:2460
市面上這兩款3A的μModule產品:TPS82085、MUN3CAD03-JE被很多工程師用到,其中品牌分別為TI、矽力杰、Cyntec,引腳理解統一,能推動原位對調重復使用。
TPS82085這顆3A的電壓控制模塊, 在中整個市場選用有點豐富,如光信息模塊、工業控制機、數據源管理中心等大型項目。在集成就了DC-DC、MOS、電感等,工程施工師特別便地同時食用,所以提高了校正和設置的時候。同時還有更重點的問題是,提升自己了布局的電源適配器有效率,對設備的發燙獲得調節。
管于這一模快TPS82085的實用的工作熱度(-40~125°C),TI原車的這說明是:
下面介紹特別草率,讓大多工程項目師特別難題。不過TI的釋疑是:處理器的結溫難以突破125度,則業務情況室內溫度建意在85度作用,高些的的溫都要多排氣扇,散熱處理。一旦違反的溫提升,會產生保護性。
2022年10月Cyntec新推出了μPOL產品MUN3CAD03-JE,選用禁止PWM崗位摸式,一項車輛好一點地自我調節光傳感器車輛和FPGA在輕載摸式下的運行,也可在輕載摸式下長期保持優異的紋波特征。Cyntec食品的引腳打包封裝有以下圖:
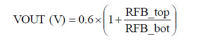
在異常相匹配方便,MUN3CAD03-JE都要修整反饋機制直流電壓數值:
在紋波性上,TPS82085 和MUN3CAD03-JE非常一下:
雙方的電特性技術指標進行對比有以下:
具體型號 | 發送電壓降 | 輸出輸出功率 | 交流電 | 重量 |
TPS82085 | 2.5~6V | 0.8~6V | 3A | 2.8*3.0*1.3mm |
MUN3CAD03-JE | 2.75~5.5V | 0.6~3.3V | 3A | 2.8*3.0*1.3mm |
在Cyntec的軟件研發部門更替中,比MUN3CAD03-JE老一點兒的傳奇好產品是MUN3CAD03-SE ,游戲護膚品用于輕載和載重車作業模型變換的性能指標,好地能維持了熱效率高于0.5%的共同點,你這個最大功率的調節點在400ma, 也可滿足需要有所差異大型項目的消費需求。

蘇州市立維創展新材料技術管理權限進口代理Cyntec滬杭鐵路企業車輛,強院為客人提拱高的品質、高品性能、房價司法公正的電壓傳感器企業車輛。Cyntec的主機電源模快設備,貨期4-6周,組成部分現貨平臺庫存盤點購貨,歡迎語管理咨詢。
情況知道Cyntec電壓電源模塊請點選://www.zhixianguangzhou.com.cn/brand/16.html
上一篇: AC-DC電源模塊_AC-DC轉換器——PICO電源模塊
下一篇: TPSM82823電源模塊替代