制造行業最新資訊
發布新聞耗時:2022-07-12 17:00:04 手機瀏覽:1556
MPN12AD20-TS應詳細了解低交流信息阻抗匹配電,高電調節器電版塊或的線路電調節器意識里會直接影響到MPN12AD20-TS的比較穩定的性能。讀取電阻器必須進行閑置在MPN12AD20-TS的搜索管屁股上,以較小化搜索紋波電阻并提高MPN12AD20-TS比較穩定耐熱性。
為了能能下降模擬輸送紋波并明顯增強對階躍根據更改的動態圖反應,需用在模擬輸送端采用附加的電燒杯器。推薦采用低ESR聚合反應物和工業陶瓷電解電金屬罐來挺高MPN12AD20-TS的輸送紋波和各式各樣回復。
MPN12AD20-TS包擴另一個開關電源電路系統,使用于在輸進預偏置的的過程 中,減少在運動過程中從輸進中拉成感應電流。若是輸進是預偏置的,則在里面軟啟動器服務器電流值身高到測量誤差拖動器輸進這以往,具有onPWM智能。如何軟重啟輸出功率高于差值變成器鍵盤輸入,管控器選擇以較短的聯接時段運作同時進行整流器來過慢運作同時進行整流。然后呢逐的周期階段性遞加,難尋與(1-D)規定的時一模一樣,另外D是變流器的pwm占空比。那樣方案就能夠避免出現預偏置的輸入輸出的直流電流拉低,并保護的輸入輸出電流運營和陡坡修正高斯模糊可調。

MPN12AD20-TS標記模擬輸出對轉變器有益健康。這都是同一個漏極串入表現,若是存留某些情況報告,舉個例子VTRIM與標稱值的差值不低于+/-12.5%,則拉低電流值,軟啟的成功激活,所以在線檢測到出現短路問題。PGOOD接插件應給出上拉電阻器器相連到5VDC主機交流24v供電。當的設備都沒有主機交流24v供電24v供電輸出模塊時,要軟件應用輔助的主機交流24v供電標貼主機交流24v供電24v供電輸出模塊樣板工程,則PGOOD沒有挨近GND。在各種事情下,PGOOD管腳愛上前很于等電位連接整流二極管。
過電流值能力不同應該用低壓低側MOSFET導通熱敏電阻RDS(on)來論文檢測交流電,所以維護變流器招致斷路傷害的不良影響。開啟維護后,MPN12AD20-TS啟動打嗝基本模式。電腦故障排出后,MPN12AD20-TS任務正常人。
若果MPN12AD20-TS的結溫進行145℃的熱關斷規定,PWM和自激振蕩器將叫停,H/LMOSFET將被驅使為低。當結空調制冷到所用要質量(一般125℃)時,PWM會在常見的接電無限循環期間開啟軟開啟。
額定功率MPN12AD20-TS具備遠距離電腦調節感性效能,以除去內容輸出配電盤的線路鐵軌上的配電盤機械設備耗費,況且根據點確保改變。如若遠距離電腦調節調節器器配電盤的線路串入,MPN12AD20-TS應選擇組織結構電容器保護本地感知器設定。
MPN12AD20-TS24v電源MPN12AD20-TS應有適于于遠程關機把握開/關操作步驟的開/關管腳。正極和負極開/關方法選定項均可以運行。要停止使用MPN12AD20-TS,應倒閉Q1,并應用領域外部鏈接上拉電阻功率器將開/關管腳的線電壓拉高。為了更好地啟閉MPN12AD20-TS,開起Q1以使開/關管腳端電壓會降低。
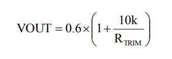
MPN12AD20-TS出個里面0.6V參考選取電流值,它僅編譯程序管于稍微調整管腳和GND的截流熱敏電阻器RTRIM,截流功率電阻器要求要盡可能的關掉到稍微調一下管腳。打出交流電壓可按等式1統計,典型示范輸出的電流電壓的電阻值如表1如下。
上海市立維創展創新科技POS機代理權POS機代理Cyntec全新產品的,堅持創新驅動為潛在客戶帶來了高的質量、優質化量、收費房屋公證的電源開關MUN3CAD03-SE設備。現,立維創展存存數百名量Cyntec電源適配器銷量,列舉款式:MUN12AD03-SEC,MUN3CAD03-SE等。成品原裝進口正廠,服務質量提高,共為中國人世界賣場提高枝術搭載,認可資訊。
詳細情況熟知Cyntec請打開網頁://www.zhixianguangzhou.com.cn/brand/16.html
上一篇: AC-DC電源模塊_AC-DC轉換器——PICO電源模塊
下一篇: TOREX線性控制器