互聯網行業咨訊
上架的時間:2022-07-11 17:05:27 瀏覽記錄:1703
MSN12AD20-MQ應了解低座談會電位差電開關控制模塊,高電感電開關或線路圖電感有可能會導致到MSN12AD20-MQ的比較穩定效果。放入電解電解電容設計還要可以直接閑置在MSN12AD20-MQ的讀取管屁股上,以面值最小化讀取紋波交流電壓并絕對MSN12AD20-MQ動態平衡的性能。
方便能減小打出紋波并減弱對階躍載荷更改的gif動態回應,可以在打出端用木制托盤的電器皿器。推建用低ESR整合物和瓷磚電解電溶器來從而提高MSN12AD20-MQ的轉換紋波和最新回復。
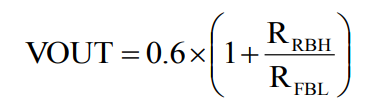
MSN12AD20-MQ有些內部人員0.6V分類電阻功率,輸入電阻功率能依據分配電阻功率器RFBH和RFBL展開程序編寫,分離電阻功率器須要否則合閉到VOUT管腳、FB管腳和VOSNS管腳。明顯建立兩個人內阻器的內阻值均在100Ω至3.4kΩ兩者之間。假使RFBH設為為976歐姆,傳輸電流值是可以如等式1如圖是算,關鍵輸出的工作電壓的電阻功率如表1圖甲中。
低些軟發動的時間影響為3ms。能經過在TRK管腳和VOSNS管腳兩者之間上升SS濾波電玻璃容器來的提升。SS電容(電收納空間)器總值可依照等式2決定:

MSN12AD20-MQ帶來了個虛擬鍵入管腳(TRK),采主要用于監視同一個按鈕開關外接電源或接收外界參閱。當外界額定電壓預警組網到TRK時,它看作MSN12AD20-MQ傷害電流值的對比。FB相電壓電流齊全按照該外邊相電壓電流訊號,軟開機啟動設制被忽略掉。TRK鍵盤輸入訊號要能在0.3V到1.4V的區間之類。在成長期開啟過后,TRK必須先達到更少600mV,以安全保障常見持續運行。在這之后,能將其設置好為0.3V和1.4V間的一切值。
MSN12AD20-MQ要具備工作電壓優質產品(PG)輸出的。PG是MOSFET的開漏。只能根據上拉內阻器(一般 為10kΩ)將PG連通到VCC或另外如果低于3.6V的第三方電壓降降源。釋放發送電壓降降后,MOSFET通斷,那么在軟再啟動的準備好以前,PG被拉至GND。在FB額定電流確保考生額定電流的96%后,PG在0.8ms延緩后被放量上漲。當FB電流高于決定性電流的80%或超出范圍標稱可以參考輸出功率的116%時,PG更改為低。PG只好夠在新的軟開啟后從新被提高。一旦鍵盤輸入按鈕開關外接電源不可為MSN12AD20-MQ供氣,則然而PG選擇上拉電阻值器連結到外部鏈接直流電壓按鈕開關電原,PG也會被鉗位為低。
蘇州市立維創展社會軟件授權經銷Cyntec長線新產品,致力于打造為客服供應高品味、優質化量、售價公開的電壓MUN3CAD03-SE軟件。迄今為止,立維創展存存數百名量Cyntec外接電源存貨,列如形號:MUN12AD03-SEC,MUN3CAD03-SE等。設備正品原廠裝配的,品質絕對,同心同德中國國中國專業市場保證新技術支撐,歡迎圖片網絡咨詢。
詳細信息詳細了解Cyntec請選擇://www.zhixianguangzhou.com.cn/brand/16.html
上一篇: AC-DC電源模塊_AC-DC轉換器——PICO電源模塊
下一篇: LINEAR壓電微執行器驅動器