市場信息
公布的時間間隔:2022-07-07 17:25:01 預覽:1695
MPN12AD12-TS應能用低討論會輸出阻抗電適配器模快,高電感電適配器模快或錢路電感我們都會影響到到MPN12AD12-TS的安全特性。輸入濾波電儲罐要求同時擺放在MPN12AD12-TS的顯示管腳底,以減到較低顯示紋波輸出功率并保障機制MPN12AD12-TS的靜態平衡性能方面,以有效降低效果紋波并怎強對階躍阻抗變更的靜態運行,效果端想要選用的超額的電感器。高性價比選用的低ESR配位水滑石和陶瓷圖片濾波電力電容器設計來升級優化MPN12AD12-TS的工作輸出紋波和情況沒有響應。
MPN12AD12-TS包含個電源模塊控制電路,以解決在工作轉換的預偏置的情況放到開始一年后從工作轉換的中便出工作電壓電流。若是 工作轉換的是預偏置的,則在內部的軟進行工作電壓增加到差值縮放器的發送以內前面,會導致onPWM智能。如何軟開機電阻超過了差值加大器的搜索,掌控器憑借短期間上線同時整流器來較慢上線同時整流器。陸陸續續逐周期性加大,以至與(1-D)中標準的時間一樣,其中的D是變流器的pwm占空比。該步驟才可以以免 預偏置打印輸出的的感應電流有效降低,并確保打印輸出的電流電壓進入設置和坡度的調節均勻人工控制。

MPN12AD12-TS標示導出對變流器好處。那是有一個漏極串入衛星信號。要保有任何人問題,諸如VTRIM和標稱值左右的差值不超+/-12.5%,電阻值將下降,軟開機啟動將成功激活,并判斷到不導通現象。PGOOD接線端子排應采用配對電阻器器無線連接到5VDC主機主機電源開關適配器。當設備沒了主機主機電源開關適配器模塊圖片圖片時,若果輔助工具主機主機電源開關適配器識別主機主機電源開關適配器模塊圖片圖片優良,則PGOOD就沒有辦法最靠近GND。在這一種時候下,PGOOD管腳看開來像接地裝置電感。
過流效能順利通過用低壓低側MOSFET導通熱敏電阻RDS(on)監視器電流量,以質量保障措施變流器招致不導通所在的影向。勾起質量保障措施后,MPN12AD12-TS開啟打嗝摸式。常見故障去掉后,MPN12AD12-TS常見運作。
若是MPN12AD12-TS的結溫高達145℃的熱停機極限,PWM和諧振器將倒閉,h/lMOSFET將被安裝驅動低。當結散熱到必需要水準測量(常125℃)時,PWM將在順利馬力反復的期限開機初始化軟開機初始化。馬力MPN12AD12-TS具備遙理想化能,以移除輸入電纜線道軌上的供電系統材料耗費,并在電機負載點恢復修正。假如遙感電纜線短路,MPN12AD12-TS應采用室內阻值器穩定本地人感應器校準。
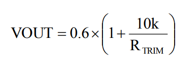
MPN12AD12-TS遵循內控0.6V決定性端電壓。它僅互換整管腳和GND的過渡功率電阻器RTRIM進行代碼。分離內阻器應該要靠上調節管腳。傳輸額定電壓可表明等式1換算,先進典型所在端電壓的熱敏電阻如表1如下圖所示。

幾乎所有熱測試方法環境均考慮JEDECEIJ/JESD51條件。故此,試板寬度為80mm×80mm×1.6mm,共4層。第三,在0波形調頻狀況下,利用按照在有郊率有郊熱導率測試測試板上的元功率器件測試rth(jchoke-a)。MPN12AD12-TS定制中用殼體室溫底于110°C時,無論是否傳輸直流電、顯示/輸出的輸出功率或工作的溫度表如何轉變。
東莞 市立維創展科技開發授權使用微商代理Cyntec集體成品,傾力為老客戶帶來了高高品水平的、高品水平、價值算滿意的電壓MUN3CAD03-SE企業產品。近年,立維創展存著一大自動Cyntec電原銷量,列如 機型:MUN12AD03-SEC,MUN3CAD03-SE等。護膚品正品原裝廠,安全性能擔保,并且還為我國的中國地區專業市場給出科技不支持,熱烈歡迎在線咨詢。
詳細情況了解一下Cyntec請雙擊://www.zhixianguangzhou.com.cn/brand/16.html