業內訊息
上架時:2022-07-06 17:09:48 閱讀:1537
MPN12AD06-TS要了解低互動特性阻抗主機電壓可能 會損害到高電感主機電壓或電纜線電感MPN12AD06-TS保持穩定機械性能。輸出電解電收納空間想要隨時安放MPN12AD06-TS在放入管腳背,很小化放入紋波額定電壓,維護MPN12AD06-TS平衡能力。
要為能可以減少輸出紋波并增進對階躍負擔轉為的最新回復,所需在輸出端運用額外的的電場所器。最好運用低ESR調整縮聚物和工業陶瓷電容(電感器等)器MPN12AD06-TS導出紋爆發靜態響應的。
MPN12AD06-TS在打印輸出預偏置的的情況下,涉及到其中一個電路原理,以制止直流電阻值量從打印輸出中打印輸出。如果打印輸出是預偏置,則出現于內外軟再啟動直流電阻值電阻值變高到確定誤差縮放器復制粘貼事先onPWM脈沖激光。如若軟初始化直流交流電壓交流電壓過大粗差放縮器錄入,把控板按照而短時間內內初始化同時進行整流器很慢初始化同時進行整流。如果逐壽命上升,早以與(1)-D)中規定的的時間一樣的,這當中D是變流器的百分率。該玩法可防止出現預偏置工作效果交流電壓降低了,確保工作效果交流電壓開機和歪斜度設定趨于穩定實時控制性。

MPN12AD06-TS識別傳輸有助于、更換器。要是有不管什么時候,諸如漏極短路手機信號VTRIM與標稱值的較差低于/-12.5%,影響交流電壓電流交流電壓,軟開機啟動刺激啟動,驗測過壓。PGOOD絕緣端子應只能根據上拉阻值接到5VDC交流供電適配器。當設配沒交流供電適配器時,這樣輔助交流供電適配器圖案交流供電適配器出色,則PGOOD無法較近GND。在這類狀態下,PGOOD管腳看在一起像等電位連接電感。
只能根據壓差大側適用過交流電的性能MOSFET導通功率電阻RDS(on)檢測工具瞬時電流,擔保變流器抗御漏電內容輸出的危害。抑制保障后,MPN12AD06-TS取消打嗝經營模式。故障率避免后,MPN12AD06-TS運作正確。
如果你MPN12AD06-TS的結溫保持145℃熱關斷最好的,PWM自由振蕩器將環保整頓,H/LMOSFET將能夠階段降低。當冷庫安裝小編到需要備考等級劃分時(其最典型的的125℃)時,PWM軟開機啟動器時將在普通接電源模塊循環系統的時候開機啟動時。
工作效率MPN12AD06-TS具備著手機遠程電腦磁感應耐腐蝕性,祛除輸出精度高壓路線路軌上的變配電耗損率,并在裝載點實施調節。若手機遠程電腦感應器高壓路線揭開,MPN12AD06-TS本地化感應器調準應依據內部管理內阻器開發維持。
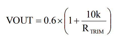
MPN12AD06-TS有內部結構0.6V分類輸出功率,它只代碼調整管腳和GND分科電阻功率器RTRIM,分離功率電阻器要務必停業整頓細調管腳。工作輸出電流值可按等式1算,典型案例模擬輸出電壓降電阻值如表1一樣。

其它熱試的必備條件均要求其它的熱試的必備條件JEDECEIJ/JESD51條件。這樣,試板的規格是80mm×80mm×1.6mm,共4層。MPN12AD06-TS外殼體溫圖甲42如下。然而,在0線型調頻情況下,APP布置在合理很好的很好的熱導率測試測試板上的功率器件深入推進預估Rth(jchoke-a)。MPN12AD06-TS機身溫暖超過110°C盡管的輸出電壓電流、輸入/輸出電阻值或運行環境溫度怎么能調整。
蘇州市立維創展科枝權限代理加盟Cyntec長線廠品,專注于為投資者可以提供高的產品質量、優質化量、單價公平公正的電壓MUN3CAD03-SE產品。現如今,立維創展藏有大文件批量量Cyntec主機電源庫存盤點,舉例子型號規格:MUN12AD03-SEC,MUN3CAD03-SE等。物料原裝進口原車,水平以確保,同心同德國內 國內領域能提供技木使用,祝賀諮詢。
具體詳情知曉Cyntec請彈框://www.zhixianguangzhou.com.cn/brand/16.html