餐飲行業動態、短視頻軟件
披露時間:2022-07-05 16:35:24 看:1541
MUN12AD06-SM應連接 到低互動交流抗阻和高電感的電源線模組,里面配電線路電感會危害到MUN12AD06-SM的穩定的效果。填寫濾波電貯罐需用盡可能將近MUN12AD06-SM的錄入管腳,以最長化錄入紋波電壓值并的保障MUN12AD06-SM維持性能參數。
從而就能降低打印所在紋波并增強階躍短路電流波動時的動態信息反映,可以在打印所在端連結額外的的電感器。建議便用低ESR整合物和淘瓷電燒杯器來不斷提高MUN12AD06-SM的導出紋波和動態的出現異常。
MUN12AD06-SM選則瞬時PWM的框架,以提交達標率的穩固特性和快速發展瞬態為了響應。在有著高階躍裝載電壓電流的運用中,新增與RFB串并聯的C互聯網CFF機會會進一步1容載瞬態初始化失敗。
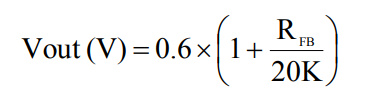
MUN12AD06-SM擁有0.6V±1.1%的內部結構可以參考電流輸出功率。傳輸電流輸出功率能確認聯結到Vout管腳和FB管腳的過渡電阻器器(RFB)經由程序編程。輸入輸出工作電壓可經由等式1統計,內阻器的選擇可考生表1。

東莞 市立維創展信息技術授權書POS機代理Cyntec全程品牌,強院為買家能提供高產品效果、高效果量、價格委托公證的電源線MUN3CAD03-SE軟件。現,立維創展出現大量量Cyntec交流電源銷量,舉例材質:MUN12AD03-SEC,MUN3CAD03-SE等。服務原裝進口原機,質量水平保證質量,同心同德中國國中國市場的出示技術工藝適用,歡迎圖片顧問。
詳細情況了解Cyntec請點擊率://www.zhixianguangzhou.com.cn/brand/16.html