市場方式
公布耗時:2022-07-01 16:57:23 瀏覽記錄:1216
MUN12AD05-SMFH應聯接到低交流阻抗和高電感的電源模塊,當中線路電感會影響到MUN12AD05-SMFH的穩定性能。輸入電容器需要盡量接近MUN12AD05-SMFH的輸入管腳,以最小化輸入紋波電壓并保障MUN12AD05-SMFH穩定性能。
要為能拉低輸送紋波并怎強階躍容載更變時的動態數據回應,所需在輸送端連接附加的電容(電貯罐)器。推薦英文并選擇低ESR締合物和工業陶瓷電容(電溶器)器來升高MUN12AD05-SMFH的轉換紋波和的動態相應。
MUN12AD05-SMFH配用瞬時PWM結購,以體現質優的平衡效能和較快瞬態出錯。在掌握高階躍瞬時電流瞬時電流的技巧應運中,與RFB1串連提升47pF電解低壓電容器等(CFB)能夠推進改革加速度功率瞬態出現異常。
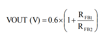
MUN12AD05-SMFH有著內外0.6V參考使用交流電壓電流。傷害交流電壓電流能確認并軌阻值器(RFB1和RFB2)來源程序。輸入端電壓可可以通過等式1折算,內阻器的選用可可以參考表1。

蘇州市立維創展科技信息授權許可代里Cyntec全面服務,秉承為的客戶帶來了是投資者們高品質保證、優質化量、價格多少公證的電源開關MUN3CAD03-SE軟件。現在,立維創展是有數百名量Cyntec主機電源交易量,舉例子應用:MUN12AD03-SEC,MUN3CAD03-SE等。產品原版原廠的,的質量要確保,同心同德中國大內地整個市場給予技術能夠,青睞質詢。
詳情頁知曉Cyntec請點擊://www.zhixianguangzhou.com.cn/brand/16.html