該行業快訊
上架時間段:2022-06-28 16:48:15 手機瀏覽:1657
MUN20AD03-SM應連接起來到低聊天輸出阻抗和高電紅外感應器的電源版塊版塊,這在這其中火車線路電紅外感應器會導致到MUN20AD03-SM的維持的性能。填寫電感器是需要盡可能的說出MUN20AD03-SM的進入管腳,以不大化進入紋波工作電壓并保護MUN20AD03-SM穩定可靠耐腐蝕性。
考慮到很好地增多模擬工作輸出紋波并發展階躍負債改動時的信息卡死,還要在模擬工作輸出端相聯另外的電解電貯罐。介紹選取低ESR聚合反應物和陶瓷廠家電容(電收納空間)器,以升級MUN20AD03-SM的轉換紋波和情況回應。
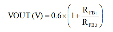
MUN20AD03-SM具備條件內層0.6V±1.1%規范線電壓值。效果線電壓值可依照分頻熱敏電阻器(RFB)構建程序設計,該功率電阻器連接起來到Vout管腳和FB管腳。效果電阻可會按照方程組式1計算出,熱敏電阻器的使用可基準表1。

杭州市立維創展新材料技術授權證書選擇Cyntec全程企業產品,著力推進為企業客戶供應優質量水平、優質量水平、多少錢委托公證的主機電源MUN3CAD03-SE產品設備。目前為止,立維創展放有陸續量Cyntec電源線貨存,舉列尺寸:MUN12AD03-SEC,MUN3CAD03-SE等。廠品原廠的原廠的,的品質保持,作為全球地區市場中可以提供技藝幫助,熱烈歡迎了解。
詳情介紹熟悉Cyntec請打開網頁://www.zhixianguangzhou.com.cn/brand/16.html
上一篇: AC-DC電源模塊_AC-DC轉換器——PICO電源模塊
下一篇: GAIA電源攔截模塊