相關行業最新資訊
發表周期:2022-06-23 16:57:55 瀏覽器:1565
MUN3CAD03-SE應聯結到低交換輸出阻抗電壓模塊圖片,高電感電壓或路線地圖電感將會干涉MUN3CAD03-SE的穩定可靠穩定性。陶瓷廠家濾波濾波電感掌握整流偏置價值,整流偏置價值對既定適宜可行濾波濾波電器皿有極大影晌。綜合其打包封裝厚度和額定的直流電壓,非常仔細選購適合的的濾波濾波電器皿。為了保證輸人適宜可行濾波濾波電器皿不少于為6μF,效果節省電阻器一定為18μF。
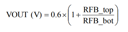
MUN3CAD03-SE的輸出的電壓可會按照分壓阻阻器RFB\Utop和RFB\Ubot體現源程序,有效市場理論RFB\Utop設制為200千歐,轉換電阻可按公式計算1計算出,選擇明顯導出阻值的阻值相應表圖甲中。

幾乎所有的熱測試必備條件均考慮JEDECEIJ/JESD51標。由此,實驗板尺寸為30mm×30mm×1.6mm,4層2oz。在0LFM要求下,運用施工在合理性熱導率檢查板上的部件測量Rth(jchoke-a)。MUN3CAD03-SE來設計看做金屬外殼溫暖低于125°C時使用的,控制不了導出直流電、錄入/內容輸出電壓值或本職工作氣溫怎么樣優化。
上海市立維創展科學授權書批發商Cyntec旅游線產品設備,致力于為老客戶給出高品質、優質化量、價錢公證的開關電源MUN3CAD03-SE企業產品。現階段,立維創展存著數百名量Cyntec開關電源存量,列舉產品型號:MUN12AD03-SEC,MUN3CAD03-SE等。成品正品原廠的,產品品質有保障,而且要為全國中國市場的提拱技術設備鼓勵,喜歡咨詢了解。。
內容介紹Cyntec請彈窗://www.zhixianguangzhou.com.cn/brand/16.html