行業內新聞資訊
上傳日子:2022-05-30 16:41:21 搜素:1112
評價板適用于MUN12AD03-SM,高效DC/DC電源模塊。評估板在負載電流高達3A時行成+5.0V輸出電壓。輸出設置電阻器RX可以調整,以評估不同的輸出電壓。MUN12AD03-SM開關頻率為1MHz,使用提供的元器可實現高達93%的效率。
電氣公司品種:
Parameters | Symbol | Value | Unit |
Input Voltage Range | VIN | 4.5~16 | V |
Output Voltage | VOUT | 5.0 | V |
Output Current | IOUT | 3 | A |
EVALUATION BOARD & EFFICIENCY::

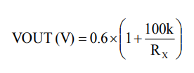
輸出額定電壓VOUT可采用變動RX(R6~R9)做好編程序。
成都市立維創展高新科技權限經銷Cyntec全程食品,致力于為朋友展示 高口感、高品重量、價格合理的電源線模塊圖片食品。食品原版原車,重量維持,而且要為在我國大陸臺灣市場中展示 技藝支持系統,歡迎辭資訊。
信息介紹MUN12AD03-SM請點擊進入://www.zhixianguangzhou.com.cn/product/3002.html