的行業咨訊
上架事件:2022-05-17 17:01:46 看:1790
MUN3CAD03-SE電原組件應接至低交流電電阻值電原,高電感電原或電路設計電感概率會會印象到電原組件的穩判定性。淘瓷濾波濾波電容器(電收納空間)器具備直流電阻值偏置調節作用,這對結果管用濾波濾波電容器(電收納空間)有比較大會印象。詳細分析選擇溫和怡人的濾波濾波電容器(電收納空間)器,并考慮的其封口技術參數尺寸大小和載荷系數電阻值。為了確保鍵盤輸入效率高濾波濾波電容器(電收納空間)數最多為6μF,效果高效率的電容器少為18μF。
電器規格:
Parameters | Symbol | Value |
Input Voltage | VIN | 2.75V~5.5V |
Output Voltage | VOUT | 0.6V~3.3V |
Output Current | IOUT | 3A |
Enable Voltage | EN | 1.2V~5V |
External VDD | VDD | 3.3V~5V |

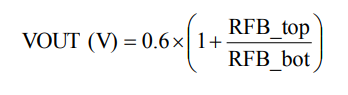
時候用在MUN3CAD03-SE調節式Vout舊版本。的輸出端電壓可能夠 分壓電式阻器RFB_top和RFB_bot保證 代碼編程,如果RFB_top設為為200千歐,導出線電壓可按函數1統計,基于典型案例輸出的直流電壓的電阻器如表1如圖是。
TI電功能模塊TPS82085原因成績突出的能力和小密度,受人許多該項目贊譽,但如果交貨期緊缺,TPS82085只可以優先權安慰超大型朋友的供給。
Cyntec電原版塊源于高能、小體型大小的市場的供需,于2021年進入中國新專利技術MUN3CAD03-SE,以達94%的電源適配器效應,很快換取市揚的認可的,在鋰手機電池、服務質量器、AI加速度卡、光接口等層面要經過嚴歷的用忍耐。還有就是非常pin to pin代替品TPS82085。
TPS82085與MUN3CAD03-SE的參數指標相對如表:
類型 | 投入的電壓 | 工作輸出電流 | 直流電 | 的效率 |
TPS82085 | 2.5~6V | 0.8~Vin | 3A | 95% |
MUN3CAD03-SE | 2.75~5.5V | 0.6~3.3V | 3A | 94% |
成都市立維創展社會受權微商代理Cyntec集體物品,傾力為大家出具高的品質、高品安全性能、售價委托公證的電原摸塊物品。物品原裝機進品,安全性能保證質量,并且還為中國國世界股票市場出具技能搭載,受歡迎咨詢公司。
信息熟悉MUN3CAD03-SE請點擊進入://www.zhixianguangzhou.com.cn/article/3252.html