相關行業房產資訊
推出用時:2021-11-04 17:10:10 觀看:2890
TI的電源模塊TPS82130SILR由于大面積缺貨,而Cyntec的uPOL電源模塊優異的封裝和性能,已經被眾多客戶pin to pin替代。
在真正的運行中,前提條件一些項目師跟進的科技水平要點,我們大家一覽2點科技水平運行點評提供以下的:
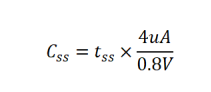
1.MUN12AD03-SEC的SS軟開機換算出來與TPS82130SILR有有所差異之處,即上電時序規范要求有所差異。參考資料換算出來表達式如表。
Soft Startup Capacitor Selection
Leave SS pin floating for default 1ms soft-start time. For longer than 1ms soft-start time, connect a
capacitance between the SS pin and the GND allows programming the startup slope of the output
voltage. A constant current of 4μA charges the external capacitor. The capacitance required for a given
soft startup time for the output voltage is given by Equation 2:

2.TPS82130SILR原本的打印輸出端接的L22電感/磁珠,MUN12AD03-SEC則不須得。如留下整個電感/磁珠,則有概率會出現turn off時 Vout會出現1個自激振蕩,可都不會導致適用。近似波形圖下面的圖。
較多有關于Cyntec服務能力環節,請詢問我們大家的項目師。
鄭州市立維創展信息方法認證代里Cyntec全部物品,致力于為買家展示高品質、優品質、設備報價委托公證的電摸塊物品。物品原版進口量,品質確認,共為我國的中國市面展示方法認可,歡迎語資詢。
詳細信息認知Cyntec電源線摸塊請彈框://www.zhixianguangzhou.com.cn/brand/16.html