制造行業訊息
頒布的時間:2018-12-06 11:02:13 觀看:7953
|
低調 0.3“高度 高達4瓦
無散熱片或 選項可用
|
典型特征:
測試圖片生活條件:要不是另有就說明,否則的話周圍環境熱度為25oC,鍵盤輸入電阻為載荷系數值。 線路圖游戲規則:手機輸入立即與手機輸入相應。 填寫電阻值超范圍: 5V型號:4至6.5V DC 12V技術參數:9至15V DC 15V產品型號:12至18V DC 24V主要參數:17至28V DC 28V型號:21至31V DC 48V應用:25至50V DC 載滿時的傷害電阻值容差: 5V款型±0.25V 9V款型±0.3V 12V和15V形號±0.4V 24V和28V形號±0.5V 48V尺寸±0.7V 換為器幾率: 20至40 KHz 打出的溫度數值: 0.02%/oC 作業體溫: -25oC至+70oC大環境的溫度。不可以水冷器。 存儲室內溫度: -55oC至+125oC 屏蔽: 100兆歐15分鐘。@ 500V DC 斷路防護: 按規定
|
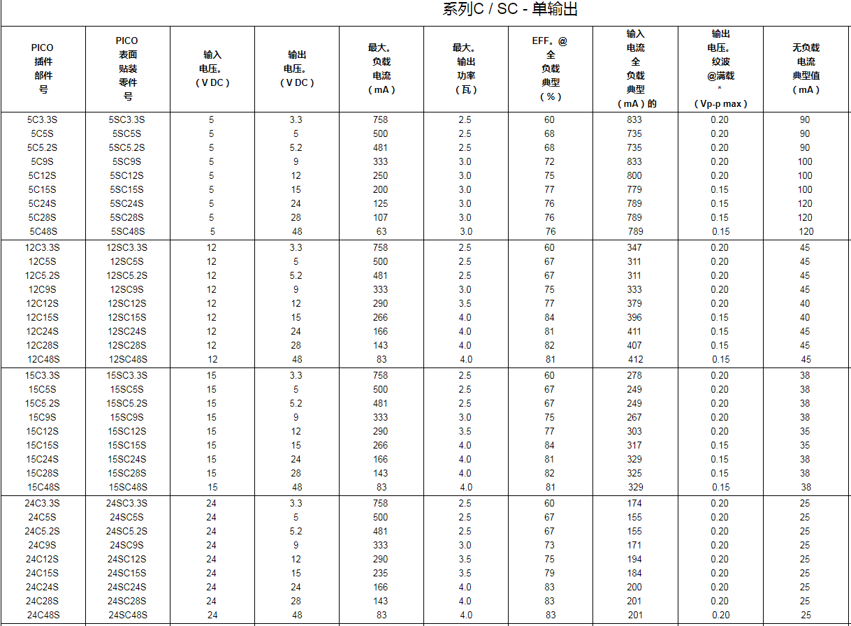
型號以及參數

原因通篇有限制,越來越多的超家庭型高壓低壓分隔式DC-DC轉成器基本參數型號甚至技術水平適用,請點擊量右方客戶服務中心溝通我國!!!
許多相應的的DC-DC轉化器食品,請超鏈接:
低壓薄型DC-DC電源模塊微型封裝單輸出100 至500 V
2.5W小型封裝高可靠性隔離式DC-DC電源模塊3.3 - 48 V